鹿泉区烟草专卖局
烟草专卖零售许可证办理业务指南
1.有与经营烟草制品零售业务相适应的资金;
2.有与住所相独立的固定经营场所;
3.符合《石家庄市烟草制品零售点合理布局规定》的要求;
4.国家烟草专卖局规定的其他条件。
1.申请表;
2.营业执照;
3.个体工商户经营者、法定代表人或其他组织负责人的身份证明。
1.申请表;
2.个体工商户经营者、法定代表人或其他组织负责人的身份证明。
变更烟草专卖许可证的,还需要与变更事项相关的材料。
申请人可以通过烟草专卖许可证办理窗口线下提出申请,也可以通过政务服务平台线上提出申请。
申请人可以委托代理人提出申请,代理人应当提供委托书、委托人及代理人的身份证明。
电话:0311-89170301
鹿泉区烟草专卖局
服务承诺及工作纪律
为加强烟草专卖许可证管理、规范申请办理程序,根据《中华人民共和国烟草专卖法》、《中华人民共和国烟草专卖法实施条例》及《烟草专卖许可证管理办法》等相关法律、法规和规章要求,鹿泉区烟草专卖局向社会公开承诺。
一、服务承诺
(一)按照各类业务工作规程,向服务对象提供服务指南,公开办理程序,提高工作透明度,接受社会监督。
(二)实行服务承诺,自受理申领烟草专卖许可证请求之日起,5个工作日内完成相应的审核、审批、制证等项工作;对于依法需要取得烟草专卖行政许可的且属于本单位职权范围内的事项,如果申请人提交的材料不齐全或不符合法定形式的,行政机关应当场一次性书面告知需要补正的全部内容;对不能当场告知需要补正的全部内容的,应在5日内出具一次性书面告知书。
(三)积极落实首问负责制,针对办事群众对我部门职责不清楚和办事程序不了解、不熟悉的情况无论是否是自己职责范围内,都要做好答复工作,做到举止文明、礼貌周到、文明用语,对提出的问题耐心解答,对重大疑难问题做好记录。
(四)受理举报要告知举报人相关权利义务,认真、准确地记录举报内容并及时汇报,严格做好举报人和举报内容的保密工作。
二、工作纪律
(一)严格考勤。办证窗口工作人员应按时上下岗,不得迟到、早退,确保办证窗口在对外承诺接待的法定工作时间内不缺岗、不缺位。办证窗口工作人员应严格按照对外公示的时间办理业务。如有特殊原因,经批准停止办理或中断服务的,应事先明示并在办证窗口摆放暂停服务标识。
(二)严守纪律。办证窗口工作人员严禁使用服务禁(忌)语,严禁与申请(咨询)人发生争吵。在工作时间内不得出现与工作无关的事宜。办证窗口工作人员不得有“吃、拿、卡、要”等不廉洁行为。办证窗口工作人员不得阻挠或者干扰申请(咨询)人进行服务满意度评价、举报投诉等。办证窗口工作人员应遵守法纪保守秘密,不得违法违规泄露申请人信息,维护其合法权益。
办证窗口工作人员可通过满意度测评、公开投诉渠道等方式接受申请人和社会公众的监督评议。对投诉或评议反馈的问题要及时调查处理并将处理结果及时反馈。
办证窗口工作人员违反本服务规范规定,未履行或未正确履行职责,所属烟草专卖局应当视情节按有关规定采取相应的惩处措施,追究责任人员的责任。
鹿泉区烟草专卖局
办理烟草专卖零售许可证公示事项
烟草专卖零售许可证
烟草专卖零售许可证的新办、延续、变更、停业、恢复营业、歇业、补办。
《中华人民共和国烟草专卖法》《中华人民共和国行政许可法》《中华人民共和国烟草专卖法实施条例》《烟草专卖许可证管理办法》(工业和信息化部令第37号)《烟草专卖许可证管理办法实施细则》(国烟法〔2020〕205号)
鹿泉区行政辖区内办理烟草专卖零售许可提出的申请。
鹿泉区烟草专卖局
地 址:石家庄市鹿泉区正义路27号 鹿泉区烟草专卖局行政服务大厅
联系电话:0311-89170301
1.有与经营烟草制品零售业务相适应的资金;
2.有与住所相独立的固定经营场所;
3.符合《石家庄市烟草制品零售点合理布局规定》的要求;
4.国家烟草专卖局规定的其他条件。
1.申请人可以通过政务服务平台线上提出申请,包括国家政务服务平台、国家烟草专卖局政务服务平台、河北政务服务网、烟草专卖零售许可证微信小程序等,线上申请的方式包括PC端和移动应用端(APP、小程序、公众号等)。
2.申请人可以以书面方式提出申请,申请人通过烟草专卖许可证办理窗口线下提出申请的,由受理机关将相关信息录入证件管理信息系统,形成格式文本,经申请人签字(盖章)确认,线下办理窗口包括鹿泉区烟草专卖局政务服务大厅等。
3.申请人可以委托代理人提出申请。委托代理人提出申请的,应当提供委托人的授权委托书及代理人的身份证明。
审批程序:接收申请材料、受理申请、现场勘验、逐级审核、作出许可决定、送达发放决定书、烟草专卖零售许可证。
鹿泉区烟草专卖局自受理申请之日起法定8个工作日(承诺5个工作日)内作出书面行政许可决定。8个工作日(承诺5个工作日)内不能作出决定的,经局负责人批准,可延长4个工作日,并应当将延长期限理由书面告知申请人。作出许可决定之日起10个工作日内向申请人送达决定书、烟草专卖零售许可证。
申请人拟从事烟草制品零售业务的,应当向受理机关提出烟草专卖零售许可证新办申请。
另外,发生下列情形的,应当向受理机关重新提出新办申请:
1.烟草专卖零售许可证持证人改变经营地址(因道路规划、城市建设等客观原因除外);
2.经营主体发生变化;
3.持有烟草专卖零售许可证的国有企业,按照国家关于发展混合所有制经济的要求,经国家有关部门批准为国有控股的混合所有制企业的,可以重新申领烟草专卖零售许可证。
申请新办需核查以下材料:
1.申请表;
2.营业执照;
3.个体工商户、法定代表人或其他组织负责人的身份证明。
(二)延续
烟草专卖零售许可证有效期届满后需要继续从事烟草制品零售业务的,持证人应当在有效期届满前30日提出延续申请。
申请延续需核查以下材料:
1.申请表;
2.营业执照;
3.个体工商户、法定代表人或其他组织负责人的身份证明。
(三)变更
烟草专卖零售许可证有效期内,企业名称、个体工商户名称、法定代表人或其他组织负责人、经营者姓名以及经营地址名称等登记事项发生改变,以及企业类型发生改变但经营主体未变化的,持证人应当及时提出变更申请。
家庭经营的个体工商户,持证人在家庭成员间变化的,可以申请变更烟草专卖零售许可证。因道路规划、城市建设等客观原因造成从核定经营地址变更到原发证机关辖区内其他地址经营的,持证人应当提前提出变更申请。
变更许可范围的,持证人应当提前提出变更申请。
申请变更需核查以下材料:
1.申请表;
2.个体工商户经营者、法定代表人或其他组织负责人的身份证明;
3.与变更事项相关的材料。
取得烟草专卖零售许可证的公民、法人和其他组织,在许可证有效期内经营主体或者经营场所发生变化的,应当重新申办烟草专卖零售许可证。
(四)停业
烟草专卖零售许可证持证人需要暂时停止经营业务1个月以上的,应当在停业前提出停业申请。申请停业期限应在烟草专卖许可证的有效期内且停业时间不得超过一年。
申请停业需核查以下材料:
1.申请表;
2.个体工商户经营者、法定代表人或其他组织负责人的身份证明。
停业期满或者提前恢复营业的,持证人应当提前提出恢复营业申请。
申请恢复营业需核查以下材料:
1.申请表;
2.个体工商户经营者、法定代表人或其他组织负责人的身份证明。
(六)歇业
持证人在许可证有效期限内不再从事烟草制品零售业务的,应当及时提出歇业申请。
申请歇业需核查以下材料:
1.申请表;
2.个体工商户经营者、法定代表人或其他组织负责人的身份证明。
(七)补办
持证人在有效期内遗失或损毁许可证的,应当向发证机关申请补办烟草专卖零售许可证。
申请补办需核查以下材料:
1.申请表;
2.个体工商户经营者、法定代表人或其他组织负责人的身份证明。
十一、收费说明
申办烟草专卖零售许可证不需交纳任何费用。
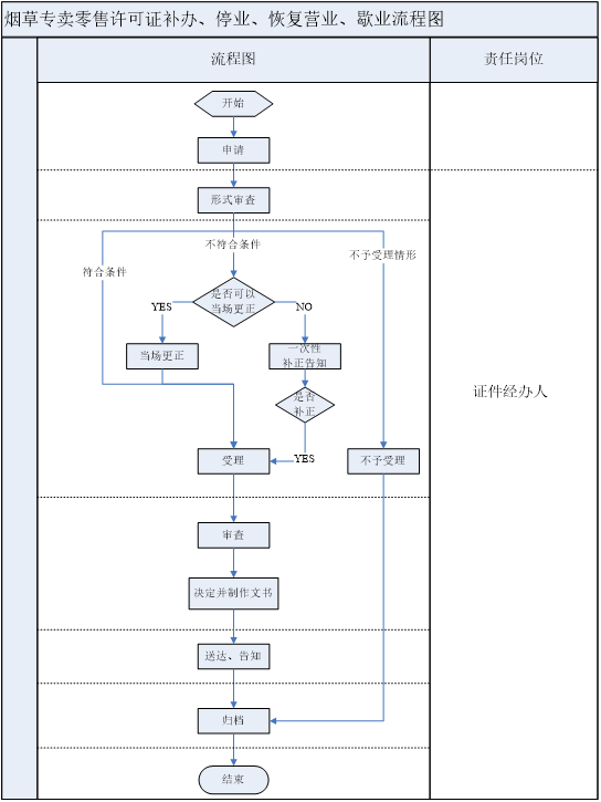
十二、流程图




鹿泉区烟草专卖局举报途径的公示
举报电话:0311-89170301
举报地址:石家庄市鹿泉区正义路27号